【发布单位】中华人民共和国商务部
【发布文号】公告2020年第48号
【发布日期】2020-10-23
根据《中华人民共和国反倾销条例》(以下称《反倾销条例》)的规定,2019年6月19日,商务部(以下称调查机关)发布2019年第29号公告,决定对原产于美国、韩国和欧盟的进口三元乙丙橡胶(以下称被调查产品)进行反倾销立案调查。
调查机关对被调查产品是否存在倾销和倾销幅度、被调查产品是否对国内三元乙丙橡胶产业造成损害及损害程度以及倾销与损害之间的因果关系进行了调查。根据调查结果和《反倾销条例》第二十四条的规定,调查机关作出初步裁定(见附件)。现就有关事项公告如下:
一、初步裁定
调查机关初步认定,原产于美国、韩国和欧盟的进口三元乙丙橡胶存在倾销,国内三元乙丙橡胶产业受到实质损害,而且倾销与实质损害之间存在因果关系。
二、征收保证金
根据《反倾销条例》第二十八条和第二十九条的规定,调查机关决定采用保证金形式实施临时反倾销措施。自2020年10月28日起,进口经营者在进口被调查产品时,应依据本初裁决定所确定的各公司的保证金比率向中华人民共和国海关提供相应的保证金。
被调查产品的具体描述如下:
调查范围:原产于美国、韩国和欧盟的进口三元乙丙橡胶。
被调查产品名称:三元乙丙橡胶。
英文名称:Ethylene-Propylene-non-conjugated Diene Rubber或Ethylene Propylene Diene Monomer(EPDM)
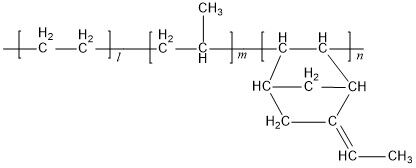
化学结构式:

物理化学特性:三元乙丙橡胶是乙烯、丙烯以及非共轭二烯烃的三元共聚物,常温下外观为白色或者微黄色固体,易于混合。三元乙丙橡胶的物理性能、化学特征和加工性能主要因聚合体的分子结构不同而异,而与分子结构相关的因素有第三单体种类、门尼粘度和充油含量等各种要素。三元乙丙橡胶具有较好的耐老化性、耐化学品性、耐低温性及介电性能。
主要用途:三元乙丙橡胶用途比较广泛,可用于建筑、电线电缆、汽车工业、交通等领域。建筑方面,主要用于屋顶单层防水卷材等;电线电缆方面,主要用于民用和商用建筑的电力输入线、建筑机械用电缆、矿用电缆、核电站用电缆、汽车点火线、控制及信号电缆等;汽车工业方面,主要用于汽车、卡车和公共汽车非轮胎部件,包括汽车的水箱及耐热胶管、密封条、橡胶带、车身及底盘的部件、挡雨条、底板和环管等;交通方面主要应用于车辆车门窗密封条、减震、止水带等。
该产品归在《中华人民共和国进出口税则》:40027010和40027090。
对各公司征收的保证金比率如下:
美国公司
1.陶氏化学公司 222.0%
(The Dow Chemical Company)
2.埃克森美孚公司 214.9%
(Exxon Mobil Corporation)
3.阿朗新科美国有限公司 219.8%
(ARLANXEO USA LLC)
4.美国狮子弹性体有限公司 219.8%
(Lion Copolymer Geismar,LLC)
5.其他美国公司 222.0%
(All Others)
韩国公司
1.锦湖POLYCHEM株式会社 12.5%
(KUMHO POLYCHEM Co.,Ltd.)
2.乐天玮萨黎司弹性体有限公司 21.1%
(Lotte Versalis Elastomers Co.,Ltd.)
3.其他韩国公司 24.5%
(All Others)
欧盟公司
1. 阿朗新科荷兰有限公司 18.1%
(ARLANXEO Netherlands B.V.)
2. 埃克森美孚化工法国公司 14.7%
(ExxonMobil Chemical France (ExxonMobil Chemical France Société par Actions Simplifiée))
3. 意大利玮萨黎司有限公司 16.5%
(Versalis S.p.A.)
4. 其他欧盟公司 31.7%
(All Others)
三、征收保证金的方法
自2020年10月28日起,进口经营者在进口原产于美国、韩国和欧盟的三元乙丙橡胶时,应依据本初裁决定所确定的各公司的倾销幅度向中华人民共和国海关提供相应的保证金。保证金以海关审定的完税价格从价计征,计算公式为:保证金金额=(海关审定的完税价格×保证金征收比率)×(1+进口环节增值税税率)。
四、评论
各利害关系方在本公告发布之日起10天内,可向调查机关提交书面评论意见。
附件:中华人民共和国商务部关于原产于美国、韩国和欧盟的进口三元乙丙橡胶反倾销调查的初步裁定.wps
中华人民共和国商务部
2020年10月23日
扫一扫在手机上查看当前页面